华东理工大学药学院/华东师范大学药学院的李洪林/朱丽丽/李诗良教授团队于2025年5月30日在国际学术期刊Engineering发表题为“Design of a Multi-Valent SARS-CoV-2 Peptide Vaccine for Broad Immune Protection via Deep Learning”的研究论文。
这项研究采用深度学习和生物信息学方法筛选和设计旨在对抗SARS-CoV-2及其变体的肽疫苗,并在体外和体内验证了其能引起强烈的免疫反应。该疫苗设计靶向高度保守的SARS-CoV-2蛋白区域,可防止病毒突变引起的免疫逃逸,实现对多种突变株的广谱中和。因此,该疫苗有望作为现有疫苗的有力补充,潜在地增强其对未来变种的效力。
自2019年新冠疫情爆发以来,SARS-CoV-2病毒持续变异演化,导致现有主要基于刺突蛋白(S蛋白)的疫苗保护效力逐渐下降,尤其在应对Omicron等变逸株时,其广谱防护能力明显不足,对老龄及免疫功能低下人群的防护尤显严峻。大量研究发现,T细胞在清除病毒、缓解病情及维持长期免疫记忆方面发挥关键作用,尤其是在抗体水平衰减后,T细胞免疫能有效弥补体液免疫的不足,提供持续的保护。基于表位的肽疫苗凭借其安全性高、生产便捷、以及能够诱导广泛T细胞应答等显著优势,正逐渐成为现有疫苗体系的重要补充方向。尽管目前已有多款新冠肽疫苗进入临床试验阶段,但仍面临如何筛选出兼具广谱性和强免疫原性的理想表位这一核心挑战。
研究团队通过整合深度学习算法与免疫信息学方法,开发了一种具有广谱保护潜力的新型抗原多肽疫苗。首先,研究者建立了基于Conformer结构的CFEP-I/CFEP-II模型,提升了HLA-I/HLA-DR分子结合多肽的预测准确性。同时,通过多参数筛选,团队从病毒结构蛋白(E/S/N)和非结构蛋白(ORF3a/ORF1ab)中鉴定出10个具备高保守性、优异抗原性和良好安全性的T细胞表位。经实验验证后,进一步筛选出5个免疫原性突出的多肽组分,并以此构建了多表位肽疫苗。动物实验证实,该疫苗不仅能有效激活CD8+和CD4+ T细胞免疫应答,其靶向病毒保守区的设计理念也使其对多种变异株展现出良好的防护效果。本研究不仅为拓展新冠疫苗防护广度提供了新的解决方案,更为针对未来其他病原体的疫苗开发建立了可转化的技术路径。
图1
T细胞表位预测、筛选、验证示意图[2]1.
基于ConFormer的抗原表位预测研究团队构建了基于ConFormer的抗原表位预测模型—ConFormer-based epitope predictor(CFEP),用于预测HLA I类与II类分子与表位的结合能力。该框架结合卷积操作与自注意力机制的优势,提升生物序列表征学习能力。ConFormer通过堆叠多尺度卷积层,提取序列局部特征,并融合Transformer的全局特征整合能力,实现不同尺度信息的综合学习。CFEP包括三个主要组成部分:嵌入模块,ConFormer编码器模块和分类器模块。嵌入模块将输入的HLA和抗原序列编码为氨基酸嵌入向量与位置编码。ConFormer编码器结合自注意力机制与卷积层,捕捉多尺度序列特征。分类器模块将编码器提取的高维特征转化为最终预测结果。
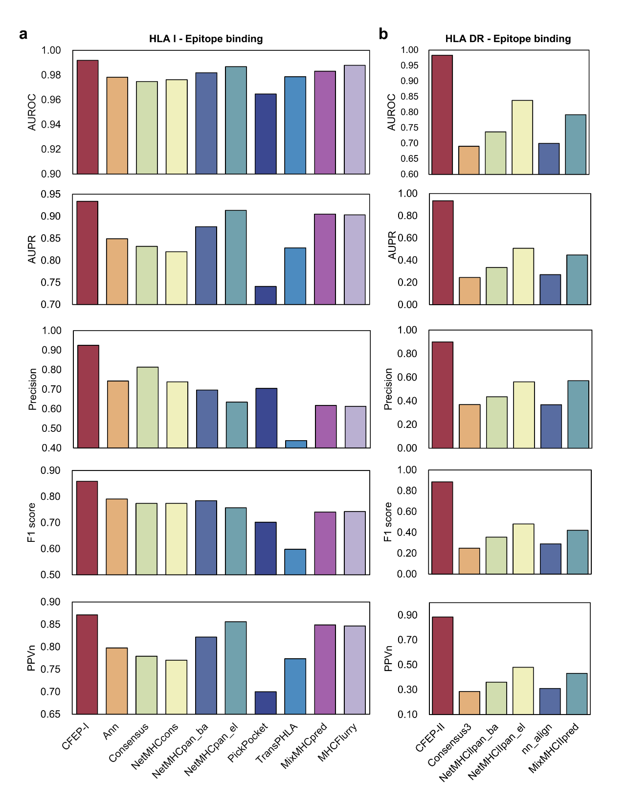
图2
CFEP模型框架[2]CFEP由两个子网络组成(图1):CFEP-I用于预测HLA-I与表位的结合,CFEP-II用于预测HLA-DR与表位的结合。作者在独立测试集中,将CFEP-I与9个方法(图3a),CFEP-II与5个方法(图3b)进行对比。所有测试集数据均未出现在训练集中,各方法均使用默认模型参数和配置。性能评价指标包括AUROC、AUPR、精确度(Precision)、F1值和PPVn。结果表明CFEP在HLA-I和HLA-DR结合预测任务中均取得领先性能。
图3 CFEP预测结果
[2]2.
作者基于CFEP方法联合NetMHCpan和NetMHCIIpan,对原始武汉株及五种SARS-CoV-2关注变异株(Alpha、Beta、Gamma、Delta和Omicron)的蛋白组,预测并筛选与18种HLA-I和16种HLA-DR等位基因结合的T细胞表位。进一步筛选发现650对HLA-I与HLA-II重叠表位,为同时诱导CD8+与CD4+ T细胞免疫反应提供候选靶点。随后,作者基于免疫学标准,从SARS-CoV-2中优选出10条保守性高、抗原性强、无毒无致敏、且未被报道的候选T细胞表位用于免疫原性验证,这些表位肽分别来源于S、ORF1ab、E、N和ORF3a蛋白。
3.
通过体外刺激12例康复者PBMC,评估多肽诱导T细胞分泌IFN-γ的能力,结果表明每一种肽都引起了至少两个捐献者的外周血淋巴细胞中的T细胞免疫反应(图4a、b)。其中E1、E2、E3、E5和E7表现突出(图4c),最终被确定为候选阳性表位,并以此构建多表位疫苗肽池。
图4 在12名捐赠者的PBMC中鉴定肽段的免疫原性
[2]接下来作者采用AIM(图5)和ICS(图6)流式细胞术方法,对筛选出的五个SARS-CoV-2肽段及其混合肽池在恢复期患者PBMC中的免疫原性进行了分析。结果表明,这些肽段和肽池均能有效激活CD8⁺和CD4⁺ T细胞,诱导细胞表面活化标志物表达升高,同时促进T细胞分泌IFN-γ。特别是混合肽池激活效果最强,T细胞活化率和IFN-γ阳性细胞比例均显著高于对照组,显示出良好的免疫激活潜力。
图5
肽段刺激T细胞的活化标志物检测[2]图6
SARS-CoV-2表位特异性T细胞的细胞因子分泌[2]4.
为验证体外筛选的五条肽段在体内的免疫效果,研究者将其与poly(I:C)佐剂制备成疫苗免疫BALB/c小鼠。经过三轮免疫后,ELISA和ICS检测结果显示,疫苗显著诱导了脾细胞分泌IFN-γ,CD8+和CD4+ T细胞中IFN-γ阳性细胞比例较对照组提升2-3倍,证明多肽疫苗可在体内激活特异性T细胞应答,产生免疫记忆。其中,多肽混合疫苗在降低个体差异方面优于单肽,展现出良好的广泛适用性。
图7
多肽疫苗在BALB/c小鼠中的T细胞应答[2]研究表明,既往感染或接种疫苗者的血清对新突变株的中和能力可能减弱。该研究用多肽池疫苗免疫BALB/c小鼠,结果发现免疫小鼠血清对SARS-CoV-2假病毒及五种突变株(Alpha(B.1.1.7),Beta(B.1.351),Gamma(P.1),Delta(B.1.617.2)和Omicron亚变体(BA.4 / 5))均具有良好中和活性,而佐剂组无效。说明该多表位多肽疫苗能诱导产生针对多种突变株的广谱中和抗体。
图8
肽疫苗在BALB/c小鼠体内的抗体中和反应[2]当前,大多数SARS-CoV-2疫苗主要针对S蛋白,并依赖抗体应答。然而,面对不断涌现的新变异株,单一的抗体保护难以实现广泛覆盖,因此亟需开发基于保守T细胞表位的广谱疫苗。本研究利用基于ConFormer的深度学习模型和生物信息学方法,从SARS-CoV-2多个蛋白中筛选并鉴定了10个具有良好免疫原性和安全性的T细胞表位。经实验验证,作者成功构建了包含5个优选表位的多肽疫苗。体内外实验结果显示,该疫苗能有效激活CD8+和CD4+ T细胞,诱导特异性抗体产生,并对多种变异株展现出广谱中和能力,同时具备良好的安全性,显示出成为现有疫苗重要补充的潜力。尽管疫苗长期免疫保护的持久性受多因素影响,且现有模拟工具对短肽疫苗的长期效应评估仍有限;未来,结合更丰富的实验和临床数据,并借助先进的数学模型,有望深入阐明其免疫记忆机制,从而为广谱、长效疫苗的研发提供有力支持。
华东理工大学药学院研究生冯紫燕、庞雪莲、许倩为本文共同第一作者。该工作得到了国家自然科学基金原创探索计划项目(82150208)、国家自然科学基金(82425104)和国家重点研发计划(2022YFC3400501)等项目资助。


长按扫码可关注
内容中包含的图片若涉及版权问题,请及时与我们联系删除
