字节跳动Seed 2025-05-13 17:32 重庆
API接口将于近期开放
团队认为,Seed1.5-Embedding 可作为搜索任务中的关键组件,高质量地将用户输入文本、文档信息转换为向量并建立匹配关系。该模型 API 接口将于近期在火山方舟平台开放,欢迎保持关注:
HuggingFace: https://huggingface.co/ByteDance-Seed/Seed1.5-Embedding
向量模型(Embedding Model)可将输入文本的语义编码到高维空间的表征向量中,使得相关文本之间的向量相似度更高,能够支撑检索、分类、聚类等各项下游任务,从而在搜索、推荐、内容理解等场景中被广泛应用。
随着大模型技术迅猛发展,向量模型基座也由 BERT 向大模型迁移,并从更大的参数量中,获得更强编码能力;同时,向量模型作为检索增强生成(RAG)机制的关键组件,可为大模型引入外部知识使其产生可靠的回复,其重要性进一步凸显。
近日,字节跳动 Seed 团队公开最新向量模型—— Seed1.5-Embedding。
Seed1.5-Embedding 重点在以下 3 个方面进行了优化和迭代:
设计两阶段对比学习训练流程并精心构造训练数据,充分强化模型的通用表征能力;
从预训练和后训练语料中,构造出推理密集型检索数据(需要深度理解查询和文档的匹配关系,而非简单的字面匹配或语义匹配),并用其优化模型;
使用少量激活参数的 MoE 模型作为基座,并通过 MRL 训练支持多个向量维度,实现较高的运行速度和灵活的存储开销。
针对向量模型能力评测,MTEB 是目前最主流的通用榜单,涵盖多种语言(中文、英文等),多类任务(检索、聚类、分类等),包括 Google、NVIDIA 在内,多家厂商自研向量模型均参与了 MTEB 评估。同时,BRIGHT 榜单因专门用于评估向量模型的推理密集型检索能力,任务设计侧重考察查询和文档的深层理解与推理能力,同样受到社区的广泛关注。
Seed1.5-Embedding 面向上述两个评测榜单,在中英文领域均取得了 SOTA 的效果,超越 Gemini-Embedding(Google)、NV-Embed(NVIDIA)、GTE、Conan 等同类模型。
具体表现如下:
当传统搜广推技术与大模型浪潮彼此碰撞,向量模型也相应面临着更高要求:
(1)向量模型须具备强大的通用能力,精准建模文本的深层语义,从而为大模型引入最适合的外部知识;
(2)现实中,搜索场景经常涉及查询、深入理解文档,向量模型须在建模语义的基础上,进一步提升推理能力,以捕捉、建模复杂的匹配关系;
(3)向量模型须在运行和存储时足够高效,以支持各种下游场景的实际应用。
为满足上述要求,团队从向量模型的设计,到训练、数据工程,进行一系列优化和改进:
在模型结构上,团队使用 Siamese 双塔向量模型结构,取所有 token 表示的平均作为最终文本向量,查询与文档之间通过 cosine 相似度计算匹配得分。其依托 Seed1.5 预训练 LLM,并将单向注意力改为双向,构建出一个小规模 MoE 模型,且查询侧和文档侧模型参数共享,保证了较高的运行效率。
在实际应用中,向量模型的查询侧负责将用户输入转为向量,帮助 AI 理解查询意图。团队为不同任务定制了指令,引导模型学习相应的匹配方式。文档侧则不使用指令输入,从而使文档向量可在多任务间复用。
2. 二阶段训练:逐步建立模型通用表征能力,支持不同尺寸向量
预训练大模型面向生成任务,其目标是基于隐层表示,预测下一个 token,而向量模型是面向表征任务,其目标是基于隐层表示进行相似度计算。为了将大模型改造成为向量模型,团队采用二阶段训练,逐步建立模型的通用表征能力。
第一阶段:让模型充分建模不同文本匹配模式
我们使用无监督数据进行预微调(pre-finetune),通过大量数据进行对比学习,将单向 Attention 的生成模型改造成为双向 Attention 的编码模型,并让模型充分建模各种文本匹配模式。
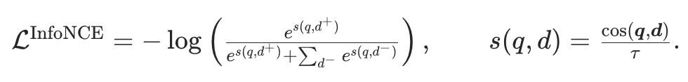
这些数据形式均为(查询文本,相关文本)对,包含网页标题-段落,QA 平台问题-答案,论文标题-摘要等各种形式。我们使用标准的 InfoNCE loss:
第二阶段:让模型学习不同任务中的最佳表征模式
我们使用有监督数据和合成数据进行微调(fine-tune),将检索以及各种任务的数据混合,进行多任务优化,让模型自行学习各个任务最佳的表征模式。
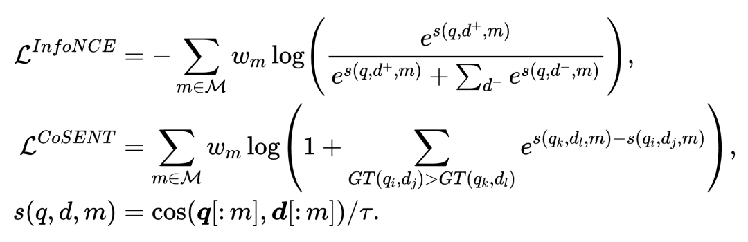
由于 Sentence Text Similarity(STS)任务的目标是学习拟合 Ground-Truth 打分,以衡量两个句子之间的语义相似程度,而 InfoNCE 仅能基于 1 - 0 标签学习,所以,团队在 STS 任务上使用了 CoSENT loss,其余任务使用 InfoNCE loss。
注意在本阶段中,团队还引入难负例(和查询有一定程度语义匹配,但并不能完全匹配),并对检索数据使用 in-batch 负例和难负例,而别的任务仅使用难负例,以进一步强化模型的分辨能力。
为了支持下游任务中不同尺寸的向量(维度 M = {256,512,1024,2048})使用场景,团队对效果和存储开销进行权衡,使用了 MRL 优化 InfoNCE loss 和 CoSENT loss,在一个高维向量中嵌套多个低维向量,减少嵌入向量大小同时,保持性能,具体形式如下:
3. 优化数据构成和质量,提升检索任务表现
检索是向量模型最重要的应用场景,难度也最高。该类任务中,向量模型要能准确建模文本语义,从海量文档中定位相关信息。为提升模型在此类场景学习效果,团队设计了三个数据工程策略,优化数据构成和质量。
负例挖掘
难负例,即——和查询有语义相似但是并不能完全正确匹配的文本,可有效提升向量模型效果,让其能区分细粒度相关性,而通常做法中,使用开源模型挖掘的负例,时常无法贴合待训练模型的偏好。
为此,团队设计了迭代式难负例挖掘策略:根据待训练模型模型自身偏好挖掘难负例,从而筛选出更“刁钻”的难题,供模型训练,以进一步提升其能力。
伪负例过滤
InfoNCE 是一种用于对比学习的损失函数,旨在将查询向量和正例向量拉近,和负例向量推远,因此,负例的质量对学习效果至关重要。但训练过程中,语料库中存在的没有标注的正例,可能会被当作负例(伪负例),该类数据会混淆模型的学习信号,导致效果变差。
具体在第二阶段训练中,检索任务的负例既包含挖掘得到的难负例,又包含 in-batch 负例。其中,难负例中可能存在过难的伪负例,此外,在使用 in-batch 负例时,由于不同查询是经过随机采样组成 batch,因此,当语料库较小或查询分布较为集中时,同 batch 内不同查询对应的文本也可能构成伪负例。
针对这两种情况,团队在挖掘难负例时和计算 in-batch 负例 loss 时,会自动过滤和正例过于相似的文本,从而避免伪负例影响学习。
合成数据
在实际应用中,各种检索场景的匹配模式不同,这要求向量模型不仅能支持语义匹配,还应当能通过推理来理解复杂的查询和文本,并建模深层匹配关系。为此,团队分别针对通用场景和推理密集场景构造数据。
在通用场景下,团队先 prompt Seed1.5 模型根据语料库中文档生成多样化查询,并仅保留相关度较高的查询-文档对。针对保留下来的查询-文档对,团队应用前文提及的负例挖掘方法挖掘难负例。
在推理密集场景下,由于文档和查询均较为稀缺,团队从大量没有标准答案的难查询出发,从文档库中挖掘候选并用大语言模型筛选正例与难负例,进而得到推理密集型检索场景的训练数据。
测试结果显示,Seed1.5-Embedding 在MTEB榜单中英文任务上超过 gemini-embedding、Conan-embedding-v2 等业界具有代表性的向量模型,证明了其通用能力。
AVG 为所有任务效果平均值,结果来自 MTEB 榜单
通用任务之外,Seed1.5-Embedding 在推理密集型检索 BRIGHT 榜单上也超过其他同类模型,并且在 Biology、Earth Science、Coding 等基于 StackExchange 上的复杂搜索上与现有模型拉开显著差距,证明该模型能深入理解查询和文档侧的输入,并建模两者之间复杂的匹配关系。
基线模型效果来自于论文《BRIGHT: A Realistic and Challenging Benchmark for Reasoning-Intensive Retrieval》和《ReasonIR: Training Retrievers for Reasoning Tasks》
最后,我们在检索这一最重要任务上消融了各项设计带来的影响,结果如下:
团队基于消融实验,还得到以下观察:
(1)第一阶段预微调、迭代式难负例挖掘、负例过滤三者对通用任务检索效果均有一定提升。负例过滤在英文上效果更加明显,该现象源于多个英文数据集文档数较少,同时面临伪难负例和伪 inbatch 负例的情况;
(2)合成数据可提升英文检索表现以及推理密集型检索效果,在中文上,训练数据则较为充足,团队没有使用合成数据。
这些现象促使团队在训练向量模型时,更关注训练数据的数量和质量,前者能够让 LLM 更好地从生成范式迁移到表征范式,后者能够保证向量模型的检索效果。
团队还认为,可以使用合成数据定向优化特定的检索场景,让模型学习对应场景下特别的匹配模式。
5. 写在最后
Seed1.5-Embedding 的 API 接口将于近期在火山方舟平台开放,此外该模型以及相关技术将很快被应用于豆包 APP 的搜索召回中,从而提升检索的精度,更好地服务用户。
未来,团队将继续探索扩增模型参数带来的影响,并尝试覆盖面更广、通用性更强的数据构建方式,从而进一步扩展向量模型的能力边界。此外,团队还将探索下一代向量模型训练范式,期望用更自然、高效的方式将生成大模型能力迁移到向量表征任务上。
[1] MTEB: Massive Text Embedding Benchmark.
[2] BRIGHT: A Realistic and Challenging Benchmark for Reasoning-Intensive Retrieval.
[3] Improving Text Embeddings with Large Language Models.
[4] Towards General Text Embeddings with Multi-stage Contrastive Learning.
[5] NV-Embed: Improved Techniques for Training LLMs as Generalist Embedding Models.
[6] Gemini Embedding: Generalizable Embeddings from Gemini.
[7] Conan-embedding: General Text Embedding with More and Better Negative Samples.
[8] CoSENT(一):比Sentence-BERT更有效的句向量方案
[9] ReasonIR: Training Retrievers for Reasoning Tasks.
